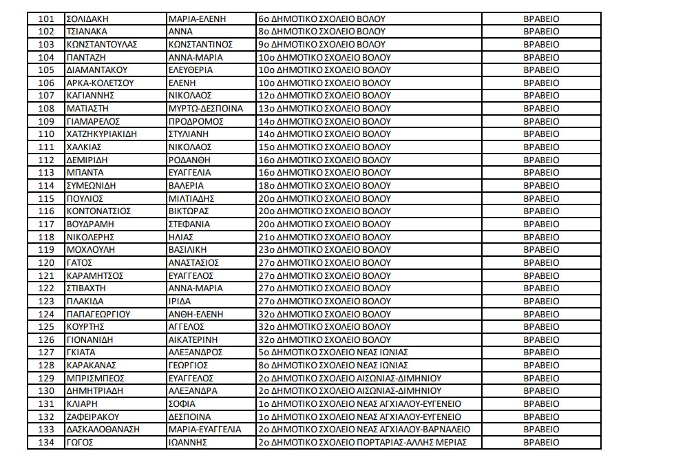
Η επιτροπή Διαγωνισμών του Παραρτήματός του Ν. Μαγνησίας της Ελληνικής Μαθηματικής Εταιρείας ανακοινώνει τα αποτελέσματα του 17ου Πανελλήνιου Μαθητικού Διαγωνισμού «ΜΑΘΗΜΑΤΙΚΑ + ΠΑΙΧΝΙΔΙ» 2023, για τις τάξεις Ε΄& ΣΤ΄ Δημοτικού, που πραγματοποιήθηκε στις 31/3/2023. Σε αυτόν συμμετείχαν 1641 μαθητές από 71 Δημοτικά Σχολεία του Ν. Μαγνησίας και από αυτούς βραβεύονται 280 μαθητές της ΣΤ΄ Δημοτικού και 186 μαθητές της Ε΄ Δημοτικού.
Η Δ.Ε. συγχαίρει τους μαθητές, τους γονείς τους και τους δασκάλους τους και εύχεται στους μαθητές και τις μαθήτριες να έχουν πάντα επιτυχίες στα Μαθηματικά!
Ακόμη η Δ.Ε. του Παραρτήματος της Ε.Μ.Ε. Μαγνησίας ανακοινώνει τη διοργάνωση της Τελετής Απονομής των Αριστείων, Βραβείων και Επαίνων των εν λόγω επιτυχόντων μαθητών την Τετάρτη 7 Ιουνίου, ώρα 19.30, στον προαύλιο χώρο του 14ου Δημοτικού Σχολείου, για να τιμήσει τους μαθητές που διακρίθηκαν.
Παρακαλούνται οι μαθητές, γονείς και δάσκαλοι, όπως τιμήσουν με την παρουσία τους την παραπάνω εκδήλωση.
Τέλος, κάνει γνωστό ότι θα διοργανώσει το 11ο Θερινό Μαθηματικό Σχολείο από τη Δευτέρα 19 μέχρι και την Πέμπτη 22 Ιουνίου 2023, από τις 10.00 π.μ. έως τις 13.00, στο 14ο Δημοτικό Σχολείο Βόλου (Μεταμορφώσεως-Γ. Δήμου) για μαθητές της Ε΄ & ΣΤ΄ Δημοτικού. Έτσι σε συνεργασία: α) με τον Δήμο Βόλου και πιο συγκεκριμένα τις κ.κ. Κότογλου Δέσποινα, Αντιδήμαρχο Παιδείας & Πολιτισμού Δ. Βόλου, την κ. Μορφογιάννη Αναστασία, πρόεδρο Σχολικής Επιτροπής Α/θμιας Εκπαίδευσης Δ. Βόλου και τον κ. Τζούνη Ευθύμιο, πρόεδρο Σχολικής Επιτροπής Β/θμιας Εκπαίδευσης Δ. Βόλου, β) τον Διευθυντή της Διεύθυνσης Α/θμιας Εκπαίδευσης Ν. Μαγνησίας κ. Πολύζο Γεώργιο και γ) τον Διευθυντή κ. Γκράσσο Γεώργιο καθώς και το Σύλλογο Διδασκόντων του 14ου Δημοτικού Σχολείου Βόλου, θα διεξάγει το 11ο Μαθηματικό Θερινό Σχολείο 2023.
Στο Θερινό Σχολείο, εκτός από τα μαθήματα Μαθηματικών θα υλοποιηθούν, όπως κάθε χρόνο και παράλληλα εργαστήρια σε συνεργασία με την Εταιρεία Αστρονομίας & Διαστήματος, τη Σκακιστική ένωση και άλλους φορείς της πόλης μας. Οι μαθητές και οι μαθήτριες που επιθυμούν να συμμετάσχουν παρακαλούνται να εγγραφούν ηλεκτρονικά στην αίτηση που θα αναρτηθεί στην ιστοσελίδα της ΕΜΕ-Μαγνησίας: eme-mag.gr.
Οι διακριθέντες μαθητές της Ε και ΣΤ τάξης:













































